• Предмет: Алгебра
  • Автор: velevalyduk
  • Вопрос задан 7 лет назад

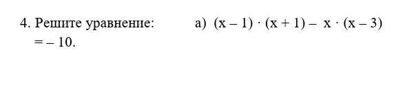
помогите пожалуйста.​

Приложения:

Ответы

Ответ дал: burkitdaniar51
1

Ответ:

-1x×1x-3x=-10

3x=-10

x=-10:3

,x=-3,1

Вас заинтересует