• Предмет: Алгебра
  • Автор: BaNaN4iiiiiiiiiik
  • Вопрос задан 7 лет назад

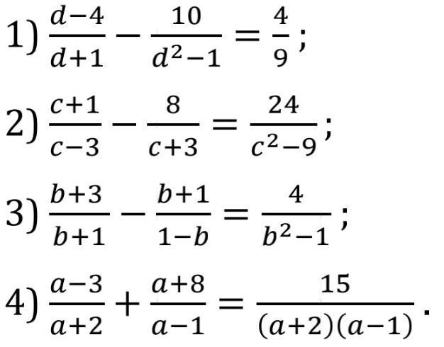
Алгебра "Дробные рациональные уравнения "​

Приложения:

Ответы

Ответ дал: mirzabayevamunisa
0

Ответ:

ну всё я всё решила, ну немного маленько написала

Приложения:
Вас заинтересует