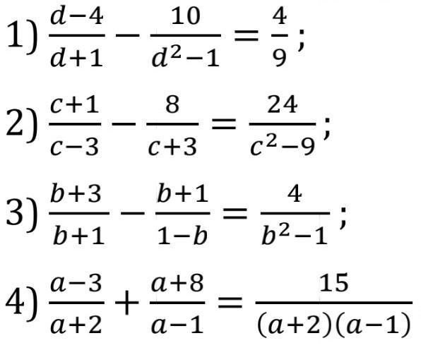
Пожалуйста срочно помогите решить.. Дробные рациональные уравнения.
Приложения:

ArgIrf:
Расписывать надо? Или просто ответ?
Ответы
Ответ дал:
1
Ответ:
я всё решила, ну немного маленький буквы вышли, думаю тебе будет видно
Приложения:

Вас заинтересует
2 года назад
2 года назад
2 года назад
8 лет назад
8 лет назад
9 лет назад