• Предмет: Математика
  • Автор: agayevrakhman0505
  • Вопрос задан 7 лет назад

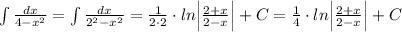
ПОМОГИТЕ РЕШИТЬ ИНТЕГРАЛ. ДАЮ 80 БАЛЛОВ!!!!!!!!!

Приложения:

mathgenius: 0.5 * arctg(x/2) + c
mathgenius: Устный интеграл не за что 80 баллов давать...
mathgenius: А там определенный, ну ок: 0.5 *( arctg(1/2) - arctg(0)) = 0.5*arctg(0.5)

Ответы

Ответ дал: DanilGreen05
1
.........................
Приложения:

mathgenius: Там + стоит
mathgenius: + интеграл определенный, надо посчитать...
Вас заинтересует