• Предмет: Математика
  • Автор: Dumpling2010
  • Вопрос задан 7 лет назад

Пожалуйста помогите! Нужно срочно! ​

Приложения:

Ответы

Ответ дал: dkonkovart
1

Ответ:

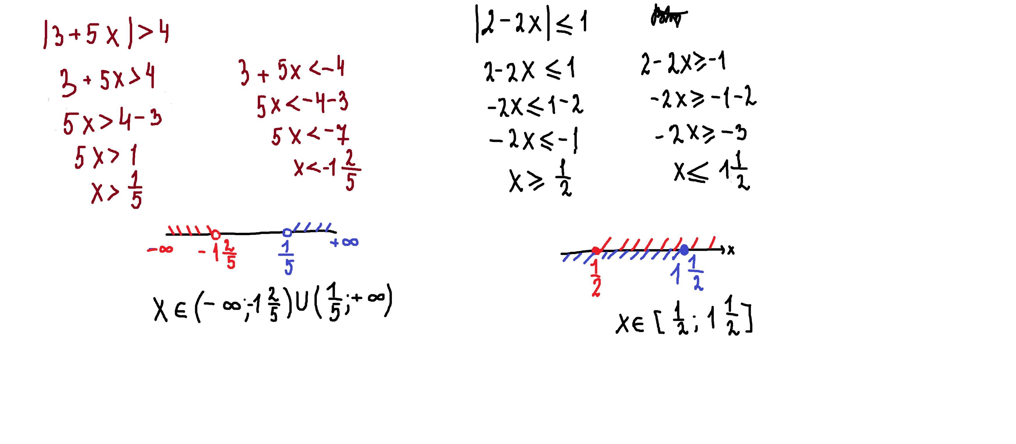
a) x> 1/5 б) x >= 1/2

Пошаговое объяснение:

а) |3 + 5x| > 4

3 + 5x > 4

5x > 4,-3

5x > 1

x > 1/5

б) |2 - 2x| <= 1

2 - 2x <= 1

-2x <= 1 - 2

-2x <= - 1

x >= 1/2


Dumpling2010: спасибо!
parus77: при раскрытии модуля рассматривается 2 случая.исправьте решение.
dkonkovart: я решил как нас учили
Dumpling2010: так это не правильно?
parus77: да,это неполное решение.
Dumpling2010: оу. тогда я заново сделаю вопрлс
Dumpling2010: *вопрос
Dumpling2010: спасибо что предупредили!
Ответ дал: parus77
1

Ответ:

Пошаговое объяснение:

решение внизу

Приложения:

Dumpling2010: спасибо огромное!
Вас заинтересует