• Предмет: Алгебра
  • Автор: Rakyshe4ka
  • Вопрос задан 7 лет назад

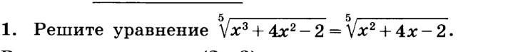
Помогите пожалуйста, нужно решить способом интервалов

Приложения:

Simba2017: при чем здесь интервалы?
Simba2017: приравнивайте подкоренные выражения
Simba2017: x=-4;0;1

Ответы

Ответ дал: fenix6810
0

x^3+4x^2-2=x^2+4x-2
x^3+4x^2-x^2-4x=0
x^3+3x^2-4x=0
x*(x^2+3x-4)=0
x*(x+4)(x-1)=0
x=0 x=-4 x=1
Вас заинтересует