Помогите пожалуйста,
Приложения:

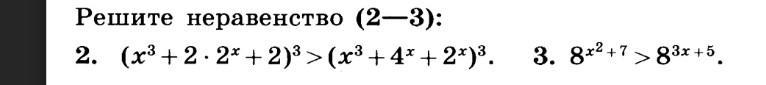
Simba2017:
3) степени решайте
Ответы
Ответ дал:
0
Ответ:
2) x ∈ (-oo; 1); 3) x ∈ (-oo; 1) U (2; +oo)
Объяснение:
2)
Функция y = x^3 строго возрастает на всей прямой (-oo; +oo), поэтому можно избавиться от степеней и сравнить основания.
x^3 + 2*2^x + 2 > x^3 + 4^x + 2^x
Приводим подобные и переносим всё в одну сторону
0 > 4^x - 2^x - 2
Замена 2^x = y > 0 при любом x, тогда 4^x = y^2
y^2 - y - 2 < 0
(y - 2)(y + 1) < 0
y ∈ (-1; 2), но y > 0, поэтому y ∈ (0; 2).
2^x ∈ (0; 2)
x ∈ (-oo; 1)
3.
Функция y = 8^x строго возрастает на всей прямой (-oo; +oo), поэтому можно избавиться от степеней и сравнить показатели.
x^2 + 7 > 3x + 5
x^2 - 3x + 2 > 0
(x - 1)(x - 2) > 0
x ∈ (-oo; 1) U (2; +oo)
Вас заинтересует
2 года назад
2 года назад
2 года назад
8 лет назад
8 лет назад