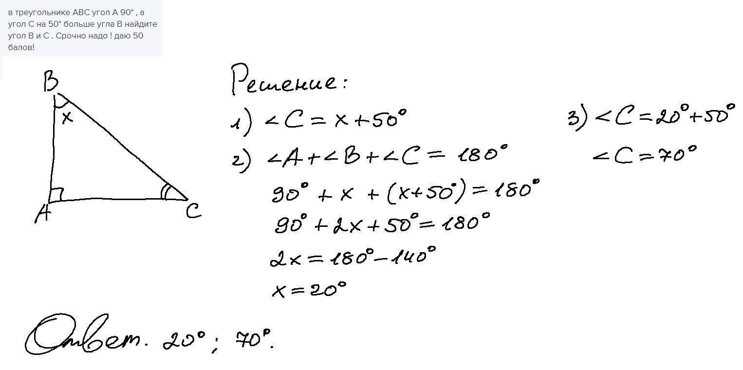
в треугольнике АВС угол А 90° , а угол С на 50° больше угла В найдите угол В и С . Срочно надо ! даю 50 балов!
Ответы
Ответ дал:
1
Ответ:
20 и 70 градусов
Объяснение:
Использовала теорема о сумме углом треугольника и метод подстановки.
Приложения:

Вас заинтересует
2 года назад
2 года назад
8 лет назад
8 лет назад
9 лет назад
9 лет назад