• Предмет: Алгебра
  • Автор: shaalfeya
  • Вопрос задан 7 лет назад

ПРОШУ ПОМОГИТЕ СРОЧНО, ПРАВИЛЬНОЕ РЕШЕНИЕ???

Приложения:

Ответы

Ответ дал: krisshevchenko95
0

Ответ:

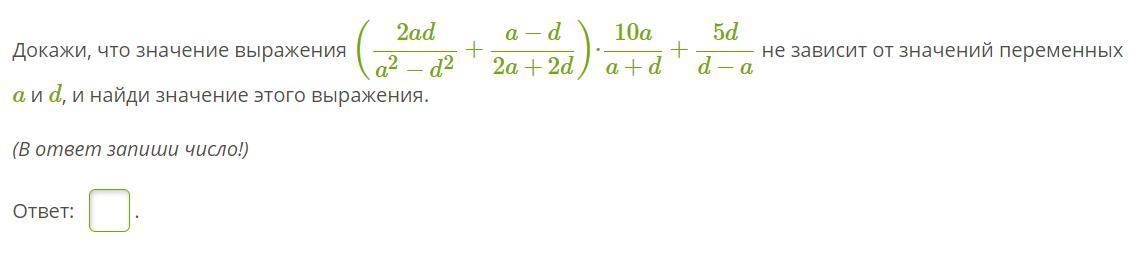
первый рисунок число 5

Объяснение:

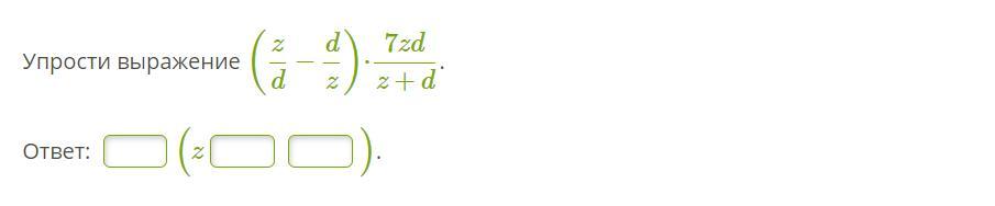
второй рисунок 7z-7d

Вас заинтересует