• Предмет: Алгебра
  • Автор: malika5772
  • Вопрос задан 7 лет назад

помогите пожалуйста ​

Приложения:

Ответы

Ответ дал: Ляляляля109
1

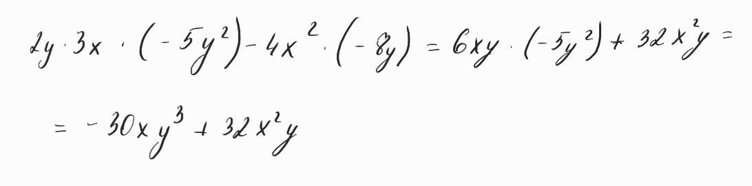
Ответ: второй вариант

Решение представлено на фото

Приложения:
Вас заинтересует