Ответы
Ответ дал:
0
Ответ:
Смотри решение на фото..
Приложения:

larisaserova53:
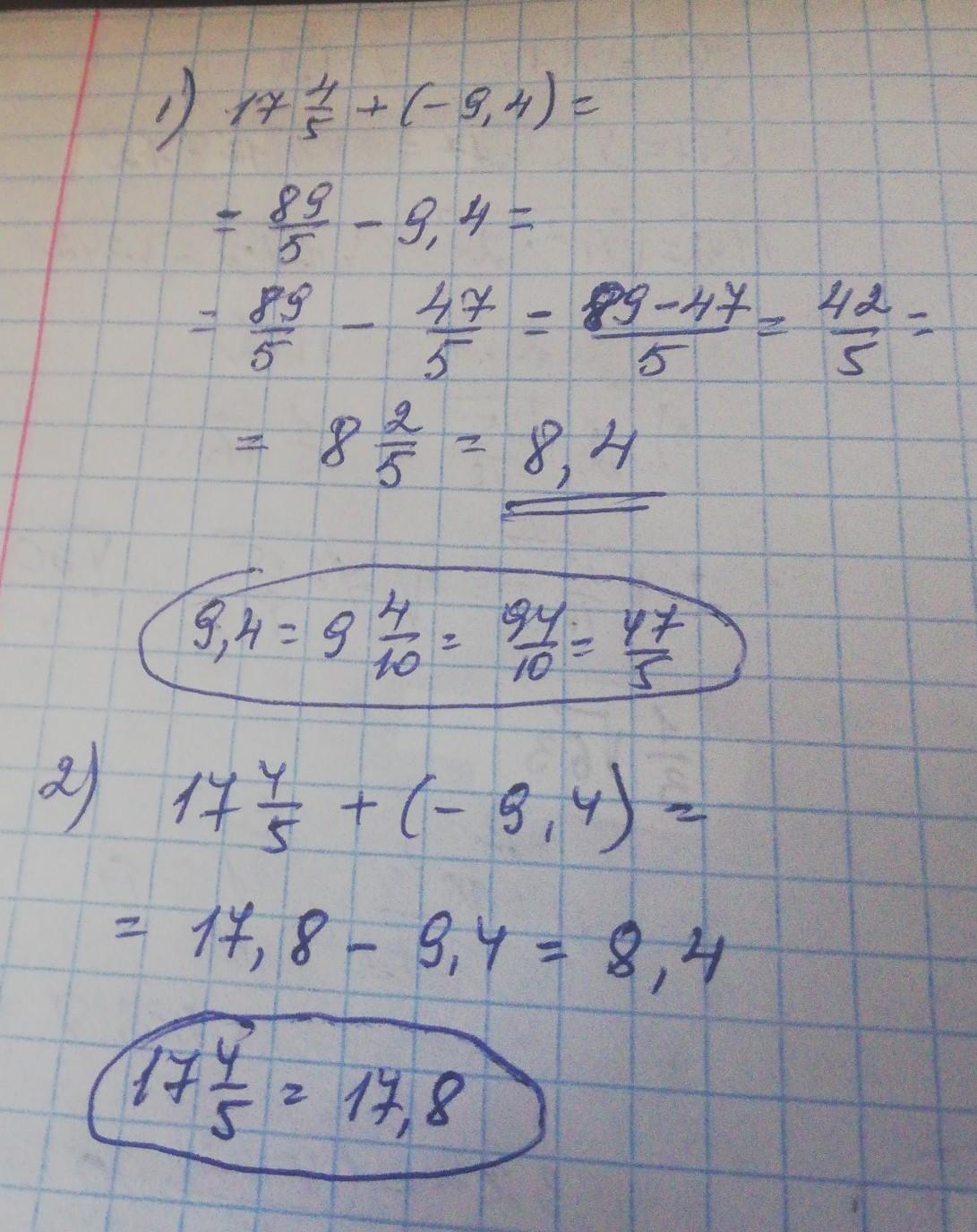
Решила двумя, способами, выбирай каким0!
Ответ дал:
0
Ответ:
8,4.
Пошаговое объяснение:
Можно привести дробь 17 4/5 к десятичной дроби 17,8.
Прибавить отрицательное число значит вычесть противоположное. Получаем 17,8-9,4.
17,8-9,4=8,4
Вас заинтересует
2 года назад
2 года назад
2 года назад
8 лет назад
8 лет назад
9 лет назад