• Предмет: Алгебра
  • Автор: Boing100
  • Вопрос задан 10 лет назад

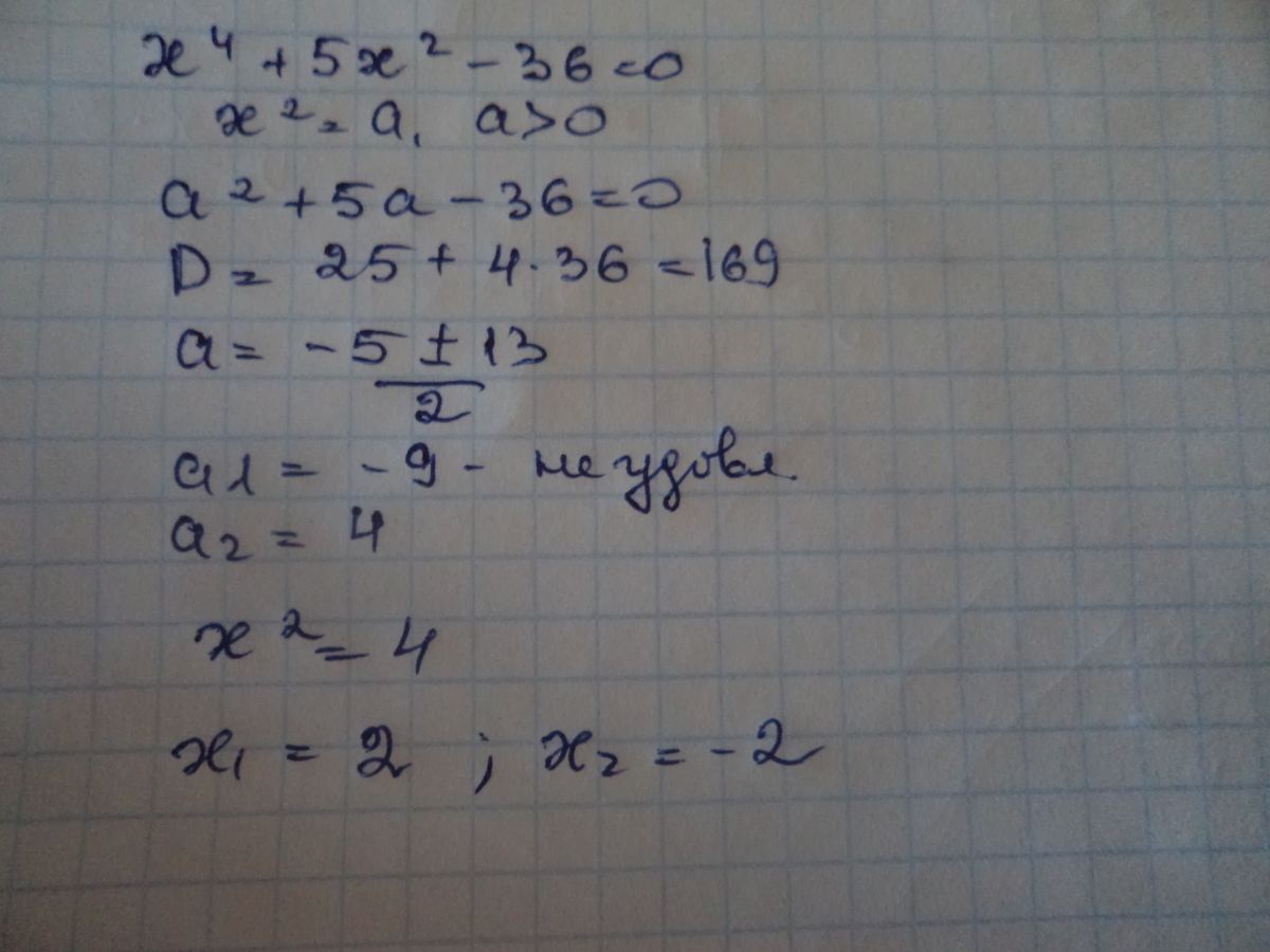
решить биквадратное уровнение x^4+5x-36=0

Ответы

Ответ дал: Mydrый
0
решениееееееееееееееееееееееееееееее
Приложения:
Вас заинтересует