• Предмет: Математика
  • Автор: khoshator
  • Вопрос задан 7 лет назад

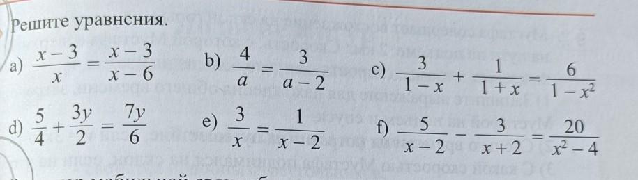
Решите уравнения. номер 1
помогите побыстрее если можно​

Приложения:

Ответы

Ответ дал: mellamosonya
0
Если что, то я перенесла из правой части в левую
Приложения:
Вас заинтересует