помогите пожалуйста срочно!!!!((((
Приложения:

3dmitrieva3m:
Какой класс???????
Ответы
Ответ дал:
0
Ответ:
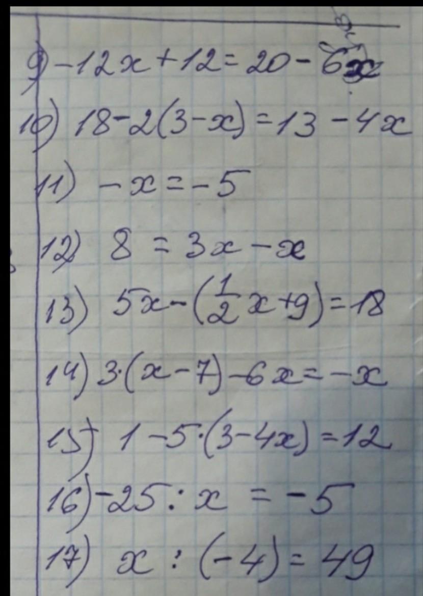
9) х=-4\3;
10) х=5 1\6;
11) х=5;
12) х=4;
13) х=6;
14) х=10,5;
15) х=1,4;
16) х=125.
Пошаговое объяснение:
9) -12х+12=20-6х;
-12х+6х=-12+20;
-6х=8;
х=-4\3;
10) 12-2(3-х)=13-4х;
2х+4х=-12+6+13;
6х=31;
х=5 1\6;
11) -х=-5;
х=5;
12) 8=3х-х;
2х=8;
х=4;
13) 5х-(1\2х+9)=18;
4,5х=27;
х=6;
14) 3(х-7)-6х=-х;
-2х=-21;
х=10,5;
15) 1-5(3-4х)=12;
20х=-1+15+12;
20х=28;
х=1,4;
16) -25:х=-5;
х=125.
Вас заинтересует
2 года назад
2 года назад
2 года назад
8 лет назад
8 лет назад
9 лет назад