• Предмет: Математика
  • Автор: rotach09
  • Вопрос задан 7 лет назад

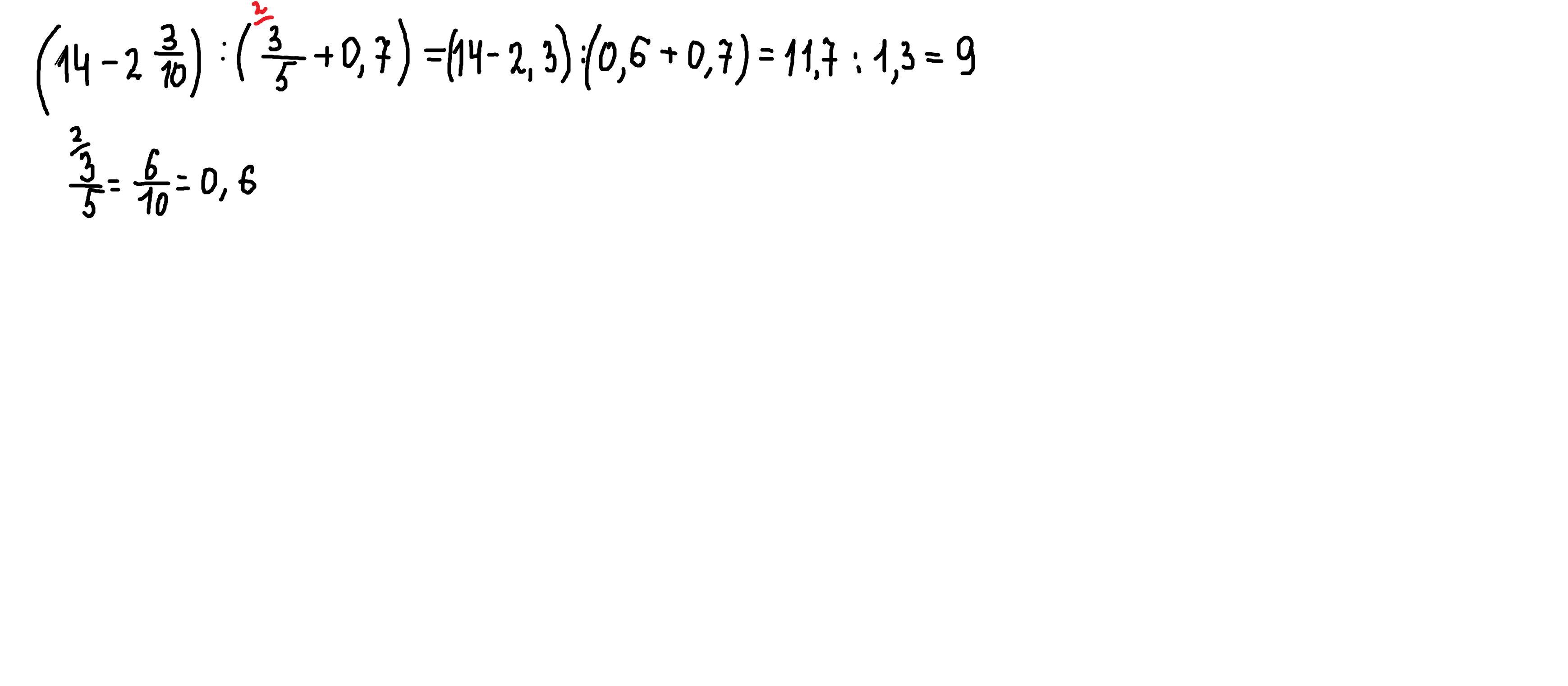
(14-2 3/10):(3/5+0,7)
Поигите пожалуйста быстро даю 30 балов
!!!!!!!!!!!!

Ответы

Ответ дал: parus77
1

Ответ:

(14-2 3/10):(3/5+0,7)=9

Пошаговое объяснение:

решение внизу

Приложения:
Вас заинтересует