ДАЮ 30 БАЛЛОВ!!!!!
РЕШИТЬ СПОСОБОМ: ФОРМУЛ СОКРАЩЁННОГО УМНОЖЕНИЯ (на фото 2 примера )
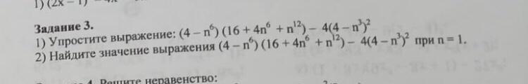
Приложения:

Ответы
Ответ дал:
1
a³ - b³ = (a - b)(a² + ab + b²)
(a - b)² = a² - 2ab + b²
(a^m)^n = a^(mn)
----
(4 - n⁶)(16 + 4n⁶ + n¹²) - 4(4 - n³)² = 4³ - (n⁶)³ - 4(16 - 8n³ + n⁶) = 64 - n¹⁸ - 64 + 32n³ - 4n⁶ = -n¹⁸ + 32n³ - 4n⁶
n = 1 -1¹⁸ + 32*1³ - 4*1⁶ = -1 + 32 - 4 = 27
Вас заинтересует
2 года назад
2 года назад
2 года назад
2 года назад
8 лет назад
8 лет назад
9 лет назад