• Предмет: Алгебра
  • Автор: КорнелияЧернова
  • Вопрос задан 7 лет назад

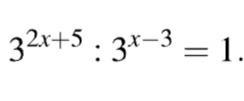
Помогите решить уравнение!
Файл прикрепила

Приложения:

Ответы

Ответ дал: yuliabegisheva143
1

Ответ:

вот решение

...........................

Приложения:
Вас заинтересует