• Предмет: Математика
  • Автор: simarte
  • Вопрос задан 7 лет назад

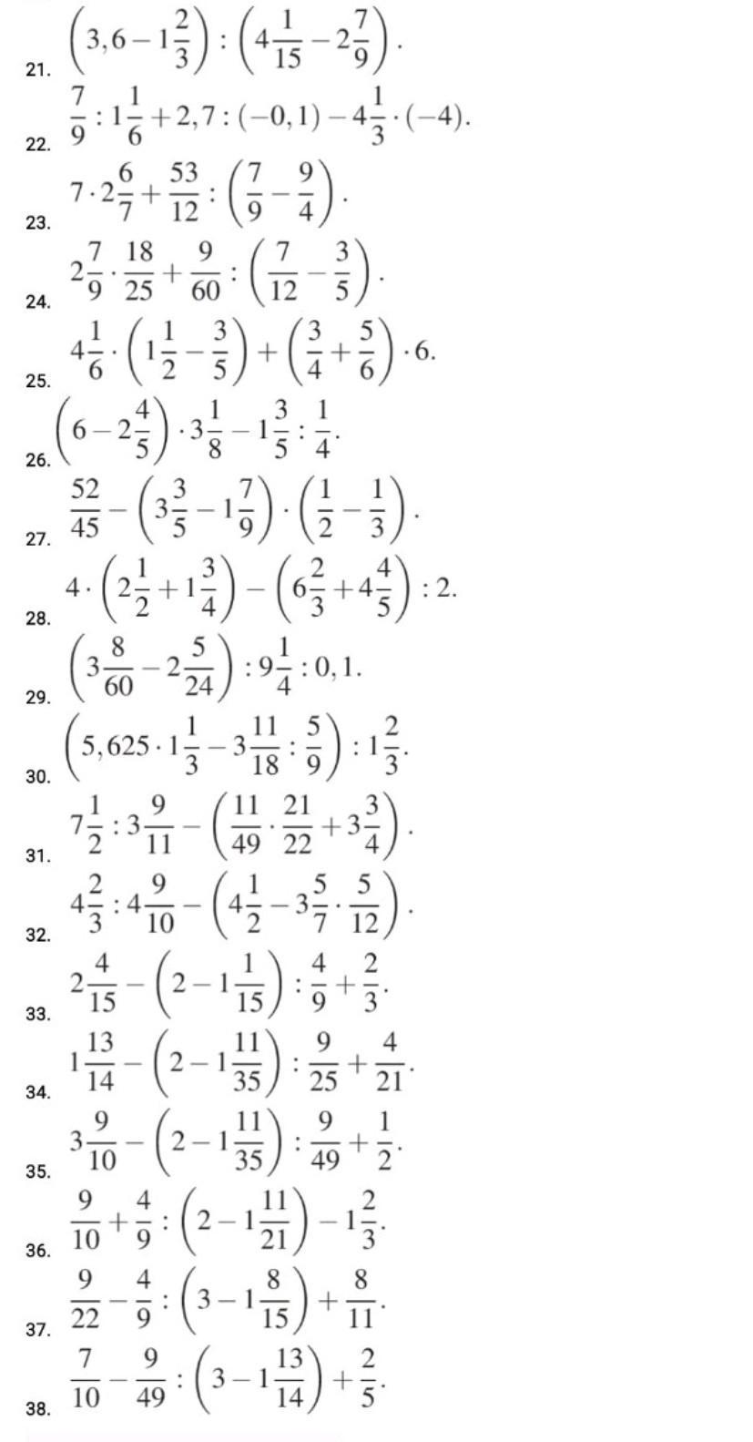
Срочно!!!Нужны номер 21,24,27,28,30​

Приложения:

Ответы

Ответ дал: labanovaanastasia43
0

Ответ:

21. =3/2

24. =-68/11

27.=23/27

28.=169/15

30.=89/27

Вас заинтересует