• Предмет: Алгебра
  • Автор: k0m1
  • Вопрос задан 7 лет назад

помогите сделать, нужно показать до завтра​

Приложения:

Ответы

Ответ дал: Vivernar
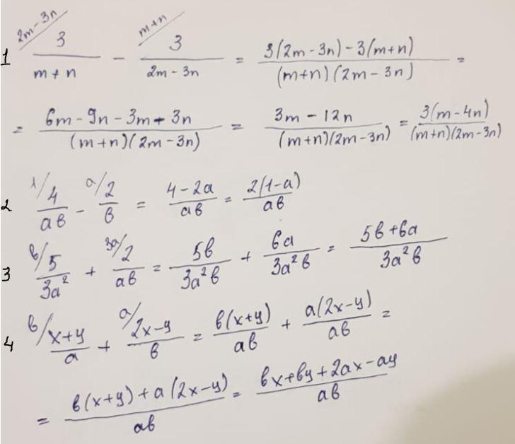
2

Ответ:

Объяснение:

Это просто дроби, для сложения и вычитания дробей надо что бы знаменатели были одинаковыми, смотришь на знаменатели - разные, значит надо домножить первую и вторую дробь на то, чего не хватает, что б стали одинаковыми, дальше по правилу: работаешь только с числителем.

Приложения:

k0m1: спасибо огромное
k0m1: вы мне очень помогли
Вас заинтересует