Решить неравенства , помогите пожалуйста !!!
Приложения:

Simba2017:
одз x+1>0; x>-1
Ответы
Ответ дал:
1
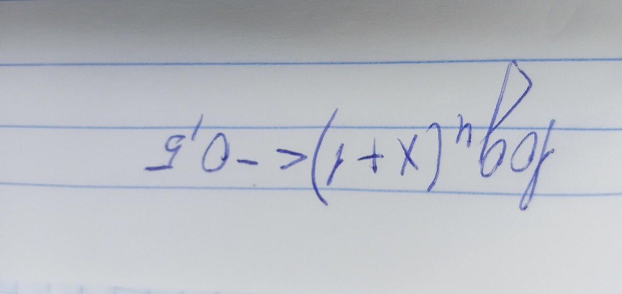
Ответ:
log4(x+1)<-0.5
log4(x+1)<log4(4^-0.5)
x+1<4^-1/2
x+1<1/2
x<1/2-1
x э (-1;-1/2)
Объяснение:
Ответ дал:
2
Ответ:
решение смотри на фотографии
Приложения:

Вас заинтересует
2 года назад
2 года назад
8 лет назад