Ответы
Ответ дал:
0
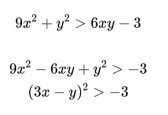
Левая часть неравенства всегда будет положительным для всех действительных х,у,а правая - отрицательное число, это значит, что положительно число всегда больше отрицательного числа.
Приложения:

Вас заинтересует
2 года назад
2 года назад
2 года назад
2 года назад
8 лет назад
8 лет назад
9 лет назад