Это физика
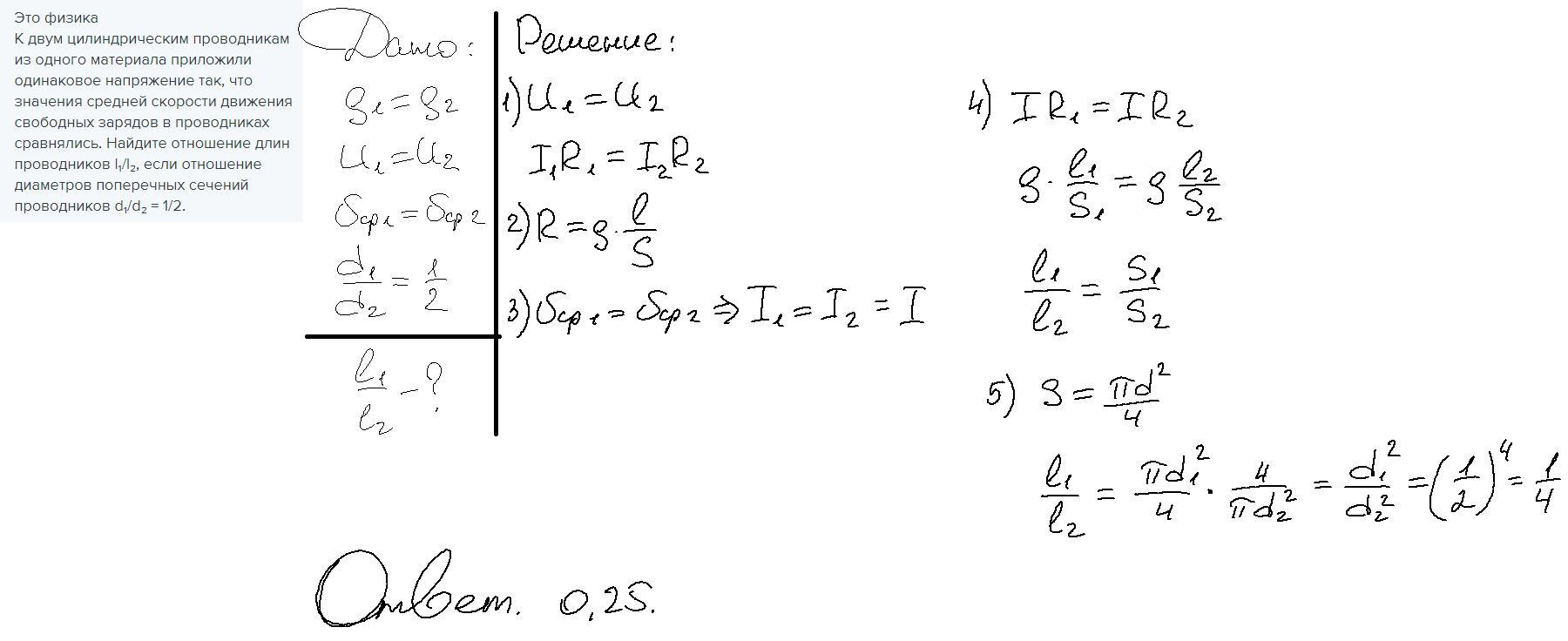
К двум цилиндрическим проводникам из одного материала приложили одинаковое напряжение так, что значения средней скорости движения свободных зарядов в проводниках сравнялись. Найдите отношение длин проводников l₁/l₂, если отношение диаметров поперечных сечений проводников d₁/d₂ = 1/2.
Аноним:
Помогите пожалуйста по Русскому языку
Ответы
Ответ дал:
1
Ответ:
Решение на картинке
Пошаговое объяснение:
Приложения:

Вас заинтересует
2 года назад
2 года назад
8 лет назад