Ответы
Ответ дал:
1
Ответ:
решено
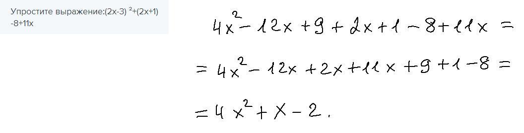
Объяснение:
Приложения:

stepansozykin847:
спасибо
Вас заинтересует
2 года назад
2 года назад
2 года назад
2 года назад
8 лет назад
9 лет назад