• Предмет: Математика
  • Автор: Hamidjajajaj
  • Вопрос задан 7 лет назад

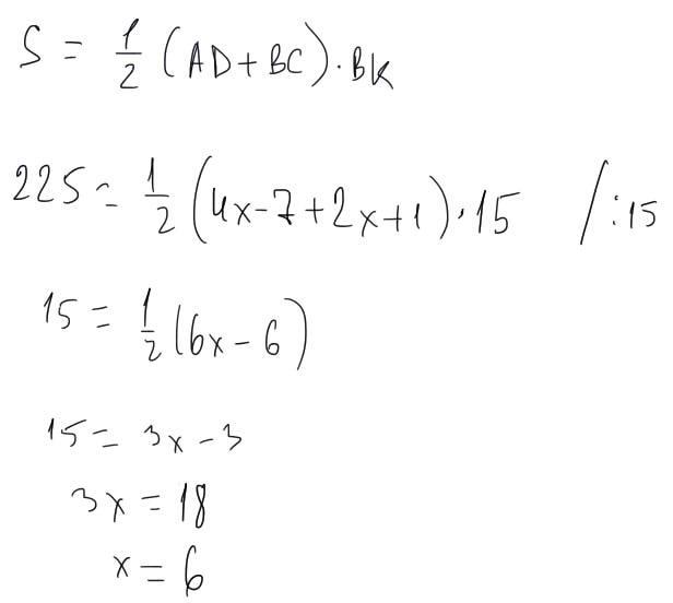
В трапеции ABCD с площадью 225см²,BC||AD,BK_|_AD,BC=2x+1,AD=4x-7,BK=15см. Найдите х

Ответы

Ответ дал: Warlock1
1

Ответ:

х=6

Пошаговое объяснение:

Приложения:
Вас заинтересует