• Предмет: Алгебра
  • Автор: Ксюшка23к3
  • Вопрос задан 11 лет назад

Ребят Решите пожалуйста срочно надо!:((
Преобразуйте в многочлен стандартного вида:

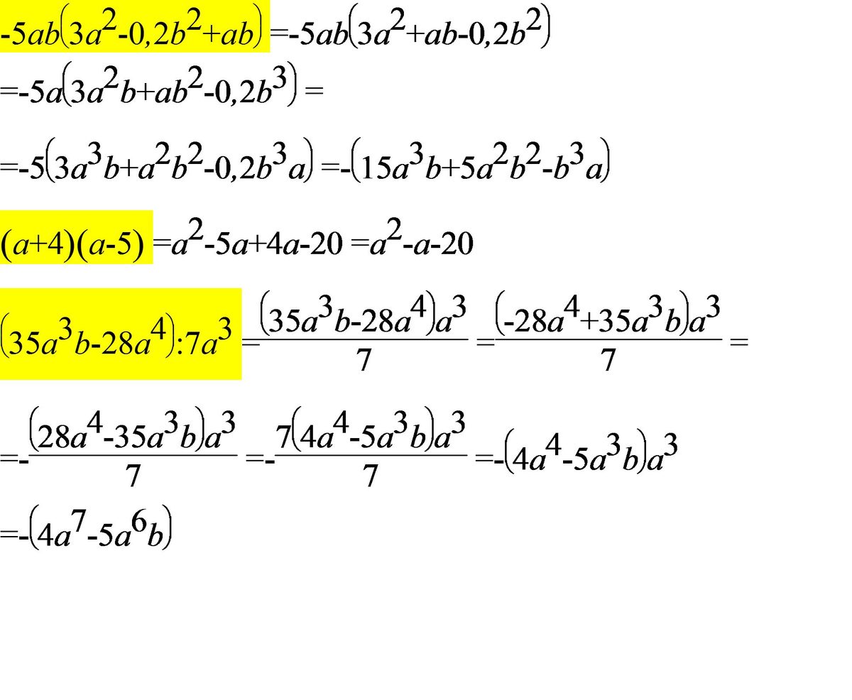
-5ab(3a^2-0,2b^2+ab)



(a+4)(a-5)



(35a^3b-28a^4):7a^3

Ответы

Ответ дал: triolana
0

файл

====================== 

Приложения:
Вас заинтересует