773. 1) Если задуманное число увеличить в 1,5 раза и из полученного значения произведения вычесть 91,5, затем полученное значение разности уменьшить в 3 раза, то получим 9,5. Найдите задуманное Число. 2) Если 39 разделить на задуманное число и полученное значение частного увеличить на 13,2, затем значение суммы умножить на 0,7, то получим 14,7. Найдите задуманное число.
пожалуйста, срочно нужен второй!!!
Ответы
Ответ дал:
8
ответ во вложении.______
Приложения:
kuzenbaevarahima:
спасибо большое вам
рада помочь)
спасибо ты лучший обажаю таких людей которы понятно пишут
<3
Ответ дал:
2
х задуманное число
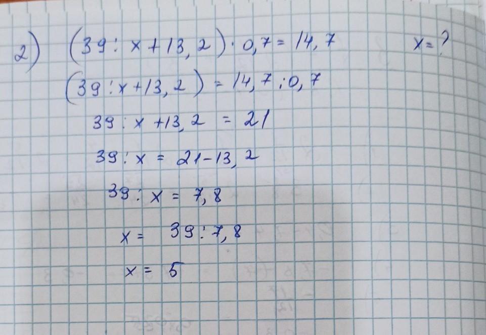
(39 : х + 13,2) • 0,7 = 14,7
39 : х + 13,2 = 14,7 : 0,7
39 : х + 13,2 = 21
39 : х =21 - 13,2
39 : х = 7,8
х= 39 : 7,8
х=5
проверочка
(39 : 5 + 13,2) • 0,7 = 14,7
(7,8 + 13,2) • 0,7 = 14,7
21•0,7=14,7
14,7=14,7
(39 : х + 13,2) • 0,7 = 14,7
39 : х + 13,2 = 14,7 : 0,7
39 : х + 13,2 = 21
39 : х =21 - 13,2
39 : х = 7,8
х= 39 : 7,8
х=5
проверочка
(39 : 5 + 13,2) • 0,7 = 14,7
(7,8 + 13,2) • 0,7 = 14,7
21•0,7=14,7
14,7=14,7
Вас заинтересует
2 года назад
3 года назад
8 лет назад