• Предмет: Алгебра
  • Автор: redsman850
  • Вопрос задан 7 лет назад

Помогите пожалуйста сделать задание

Приложения:

Ответы

Ответ дал: Ляляляля109
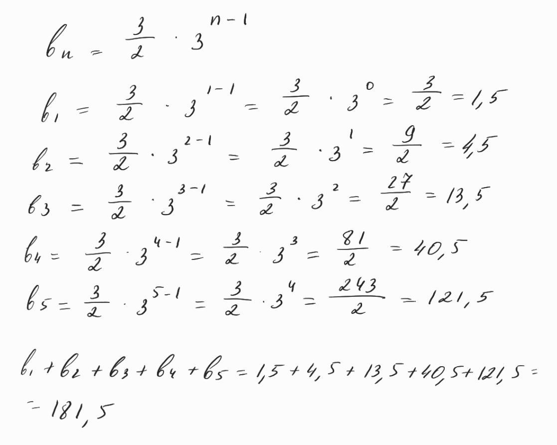
0

Решение представлено на фото

Приложения:
Вас заинтересует