• Предмет: Математика
  • Автор: serkserk1900
  • Вопрос задан 7 лет назад

100 баллов плиз!!!!!

Приложения:

serkserk1900: ПЖ ДАЙТЕ ОТВЕТ . ТОЛЬКО ПРАВЕЛЬНЫЙ

Ответы

Ответ дал: dirolkaa
1

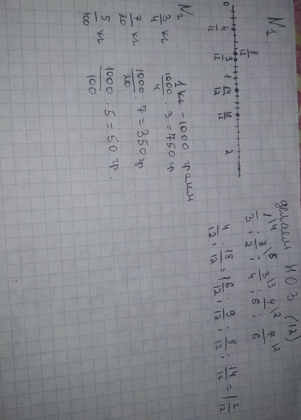
номер 1. чтобы изобразить надо найти ноз чисел,в нашем случае 12.

отрезок надо разделить так чтобы можно было показать дробные числа,поэтому делим на 12 частей.

номер 2. в одном кг - 1000 грамм. соответственно мы находим части от 1000 грамм.

Приложения:

serkserk1900: ОГРОМНОЕ СПАСИБООО !!!!
dirolkaa: не за что!
Ответ дал: iramazurk
1

Ответ:



Пошаговое объяснение:


№ 2


1 кг = 1000 г


3/4кг = 3/4 * 1000 = 3000/4 = 750г


7/20кг = 7/20 * 1000 = 7/1 * 50 = 350/1 = 350г


5/100кг = 5/100 * 1000 = 5/1 * 10 = 50/1 = 50г




№1


Чтобы эти дроби разместить на координатном луче, приведём их к общему знаменателю 12.


Значит единичный отрезок будет равен 12 клеткам .


Приложения:
Вас заинтересует