Ответы
Ответ дал:
0
Ответ:
Фото
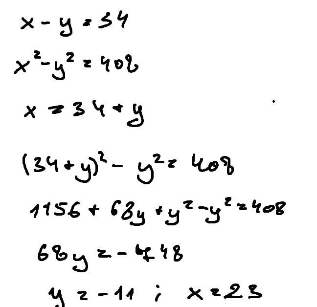
Объяснение:
Приложения:

dd348124:
это точный ответ?
2х² -32
000
А) 2 (х-4) Б) 2 (х-4)
в) 2 (х-30)
D) (2x²-8) 2x² + 4) E) 2 (x-2Xx + 2Xx² + 4)
Вас заинтересует
2 года назад
2 года назад
2 года назад
8 лет назад
8 лет назад
9 лет назад