• Предмет: Алгебра
  • Автор: Ксюшка23к3
  • Вопрос задан 11 лет назад

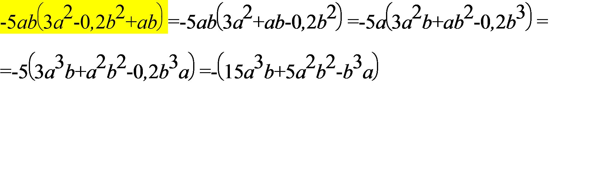
Преобразуйте в многочлен стандартного вида: -5ab(3a^2-0,2b^2+ab)

Ответы

Ответ дал: triolana
0

файл

============================ 

Приложения:
Вас заинтересует