• Предмет: Алгебра
  • Автор: Qwerty398170
  • Вопрос задан 7 лет назад

Помогите с системой пожалуйста дам 80 баллов можете решить вторым способом как на фото втором пожалуйста

Приложения:

Ответы

Ответ дал: ludmilaksenija2005
1

Объяснение:

{4х-2у=2

{2х+у=7 => у=7-2х

4х-2(7-2х)=2

4х-14+4х=2

8х=2+14

8х=16

Х=16:8

Х=2

У=7-2×2=7-4=3

Ответ : (2;3)

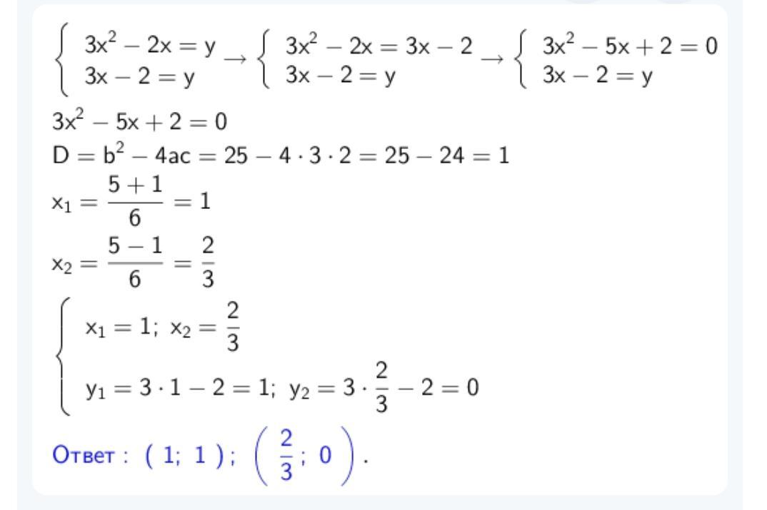
{3х-2х=у

{3х-2=у

3х-2х=3х-2

-2х= - 2

Х= - 2: (-2)

Х=1

3×1-2×1=У

3-2=У

1=У

У=1

Ответ :(1;1)

{2х^2+3у^2=1

{4х+6у=11х

{2х^2+3у^2=1

{4х-11х= - 6у

{2х^2+3у^2=1

{-7х= - 6у х=6у/7

2×((6у/7)^2+3у^2=1

2×(36у^2/49)+3у^2=1

72у^2 /49+3у^2=1

72у^2+147у^=49

219у^2=49

У^2=49/219

У1=корень (49/219)=

=7×корень219/корень219×корень219)=7корень219 /219

У2= - 7корень219 /219

Х1=6×7корень219 /219:7=6корень219 /219=

=2корень219 /73

Х2=6×(-7корень219 /219): 7=

= - 6корень219 /219= - 2корень219 /73

Ответ ; (2корень219 /73 ; 7корень219 /219)

( - 2корень219 /73 ; - 7корень219 219)

Вас заинтересует