Ответы
Ответ дал:
0
Решение представлено на фото
Приложения:

Ответ дал:
0
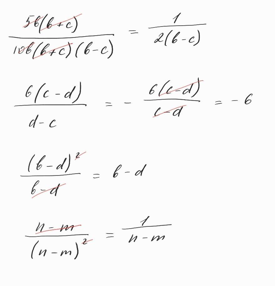
Ответ:
1)
2)
3)
4)
Вас заинтересует
2 года назад
2 года назад
2 года назад
2 года назад
8 лет назад
8 лет назад
9 лет назад
9 лет назад