• Предмет: Математика
  • Автор: tahminaalimjanova
  • Вопрос задан 7 лет назад

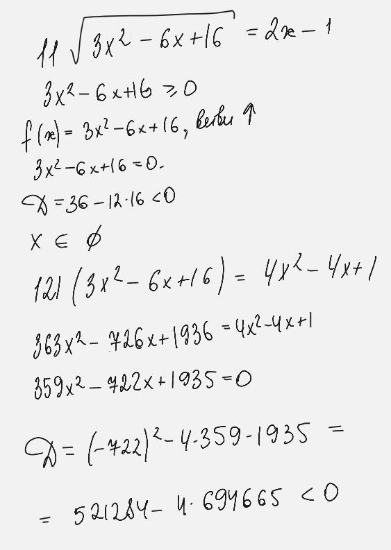
11sqrt(3x ^ 2 - 6x + 16) = 2x - 1

Ответы

Ответ дал: lvbealr
1

Ответ:

нет решений

Пошаговое объяснение:

Приложения:
Вас заинтересует