• Предмет: Алгебра
  • Автор: Аноним
  • Вопрос задан 7 лет назад

помоги пожалуйста @NNNLLL54
можно не всё!​

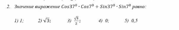
Приложения:

Ответы

Ответ дал: sangers1959
1

cos37^0*cos7^0+sin37^0*sin7^0=cos(37^0-7^0)=cos30^0=\frac{\sqrt{3} }{2} .

Ответ: 3) √3/2.

Вас заинтересует