• Предмет: Алгебра
  • Автор: Me00007
  • Вопрос задан 10 лет назад

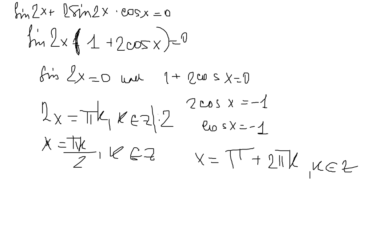
Подробное решение! sin2x+2sin2xcosx=0

Ответы

Ответ дал: 15032
0
Вот,всё очень легко решается 
Приложения:
Ответ дал: Me00007
0
А как получили то, что в скобках?
Ответ дал: 15032
0
Эм,ну как бы вынесли общий множитель за скобки
Ответ дал: Me00007
0
Понятно
Вас заинтересует