• Предмет: Алгебра
  • Автор: Ayrat737372727
  • Вопрос задан 7 лет назад

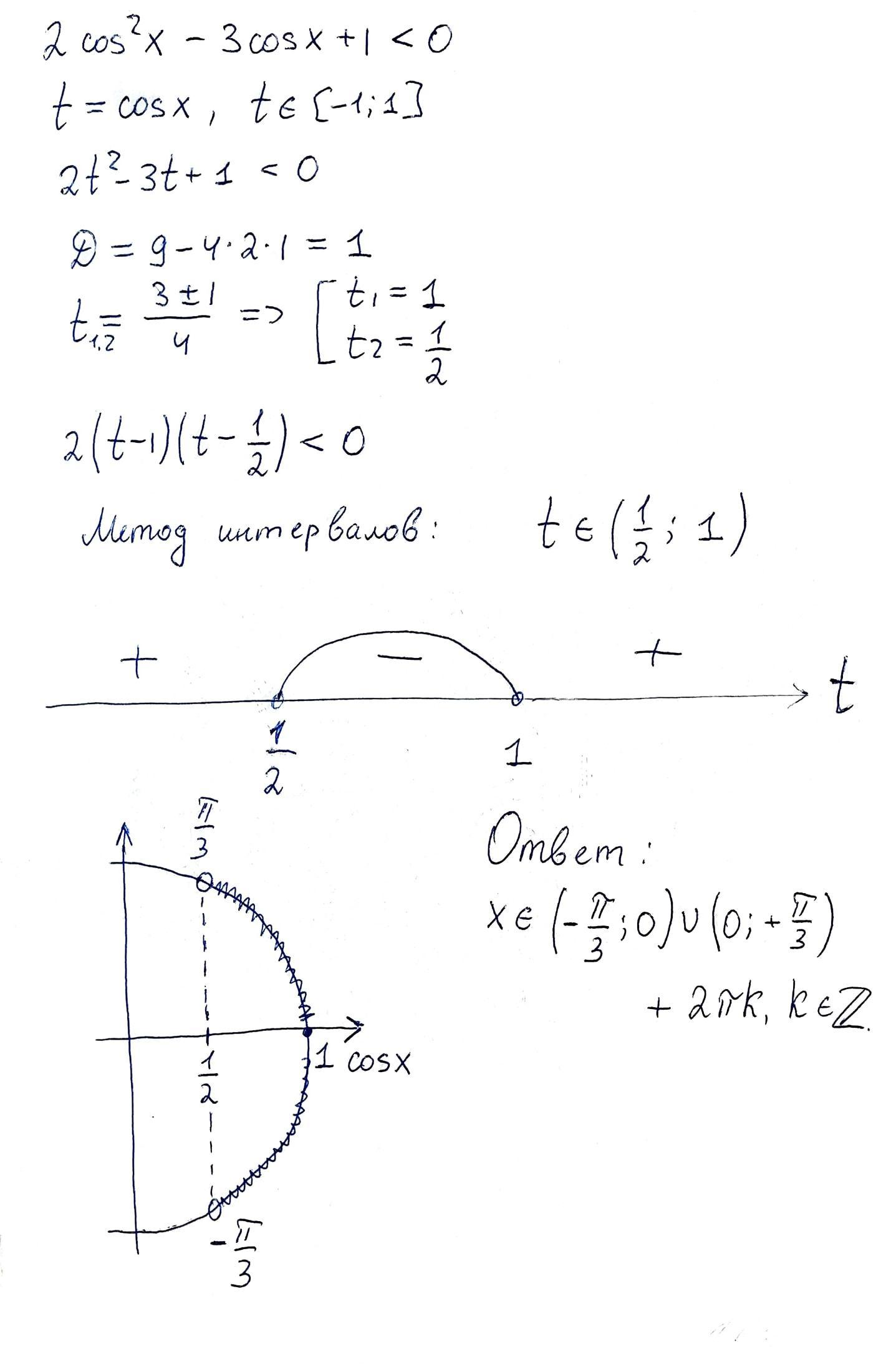
Решите неравенство
2cos²x-3cosx+1<0
ЗНАК < А НЕ = !!!!

Ответы

Ответ дал: artemijkurganov
1

Решение на прикреплённой картинке

Приложения:
Вас заинтересует