• Предмет: Алгебра
  • Автор: Barbarosiik
  • Вопрос задан 7 лет назад

Ребят, помогите пожалуйста решить два этих параметра. Даю 21 балл

Приложения:

Ответы

Ответ дал: sangers1959
1

Объяснение:

\sqrt{x+a} =x\\(\sqrt{x+a})^2 =x^2\\x+a=x^2\\x^2-x-a=0\\D=(-1)^2-4*1*(-a) > 0\\1+4a > 0\\4a > -1\ |:4\\a > -0,25.

Ответ: a∈(-0,25;+∞).

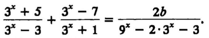
\frac{3^x+5}{3^x-3}+\frac{3^x-7}{3^x+1}=\frac{2b}{9^{x}-2*3^x-3}.\\  \frac{3^x+5}{3^x-3}+\frac{3^x-7}{3^x+1}=\frac{2b}{(3^x)^2-2*3^x-3} .

Пусть 3ˣ=t>0       ⇒

\frac{t+5}{t-3}+\frac{t-7}{t+1} =\frac{2b}{t^2-2t-3}\\\frac{(t+5)*(t+1)+(t-3)*(t-7)}{(t-3)*(t+1)} =\frac{2b}{t^2-3t+t-3}  \\\frac{t^2+6t+5+t^2-10t+21}{(t-3)*(t+1)} =\frac{2b}{t*(t-3)+(t-3)} \\\frac{2t^2-4t+26}{(t-3)*(t+1)}=\frac{2b}{(t-3)*(t+1)}  \\2*(t^2-2t+13)=2b\ |:2\\b=t^2-2t+13\\b=(3^x)^2-2*3^x+13=3^{2x}-2*3^x+13=9^x-2*3^x+13.

Ответ: b=9ˣ-2*3ˣ+13.

Вас заинтересует