• Предмет: Алгебра
  • Автор: cvv0
  • Вопрос задан 7 лет назад

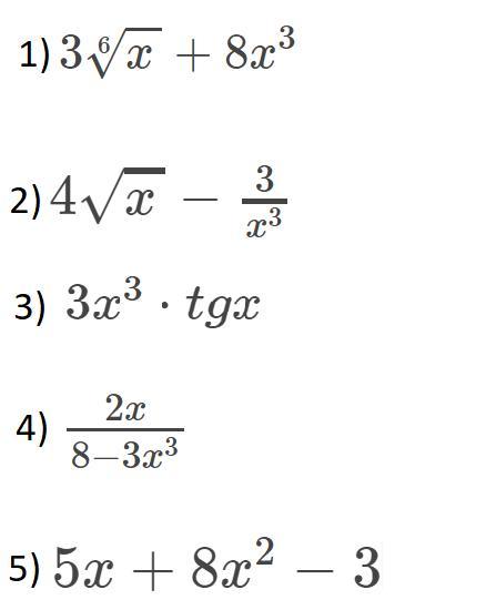
Найдите производные (только y')

Приложения:

Ответы

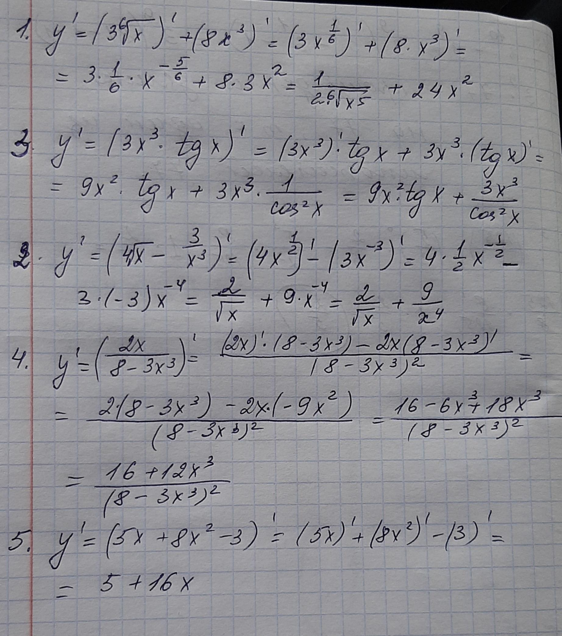
Ответ дал: Evreika77
1

Ответ:

Объяснение:

Смотри

Приложения:
Вас заинтересует