• Предмет: Алгебра
  • Автор: romaigrok37
  • Вопрос задан 7 лет назад

Решите пожалуйста сколько сможете :)
65 баллов​

Приложения:

Ответы

Ответ дал: NNNLLL54
1

Ответ:

   \boxed{\ a^2-b^2=(a-b)(a+b)\ }

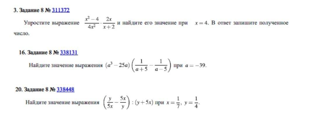
1)\ \ \displaystyle x=4\ ,\ \ \frac{x^2-4}{4x^2}\cdot \frac{2x}{x+2}=\frac{(x-2)(x+2)}{2x}\cdot \frac{1}{x+2}=\frac{x-2}{2x}=\frac{4-2}{2\cdot 4}=\frac{1}{4}\\\\\\2)\ \ a=-39\ ,\ \ (a^3-25a)\cdot \Big(\frac{1}{a+5}-\frac{1}{a-5}\Big)=a(a-5)(a+5)\cdot \frac{a-5-a-5}{(a-5)(a+5)}=\\\\=a\cdot \frac{-10}{1}=-10a=-10\cdot (-39)=390

\displaystyle 3)\ \ x=\frac{1}{7}\ ,\ y=\frac{1}{4}\ \ ,\ \ \Big(\frac{y}{5x}-\frac{5x}{y}\Big):(y+5x)=\frac{y^2-(5x)^2}{y\cdot 5x}\cdot \frac{1}{y+5x}=\\\\\\=\frac{(y-5x)(y+5x)}{y\cdot 5x}\cdot \frac{1}{y+5x}=\frac{y-5x}{5xy}=\frac{\dfrac{1}{4}-\dfrac{5}{7}}{5\cdot \dfrac{1}{7}\cdot \dfrac{1}{4}}=\frac{-\dfrac{13}{28}}{\dfrac{5}{28}}=-\frac{13}{5}=-2\frac{3}{5}

Вас заинтересует