• Предмет: Алгебра
  • Автор: aosinoru
  • Вопрос задан 7 лет назад

Найди значение выражения: (35/24)8(степень) ⋅(6/7)8(степень) ⋅(2/5)8(степень). Ответ: . Ответить!

Приложения:

aosinoru: пжжжжжжжжжжжжжжжжжжжжж

Ответы

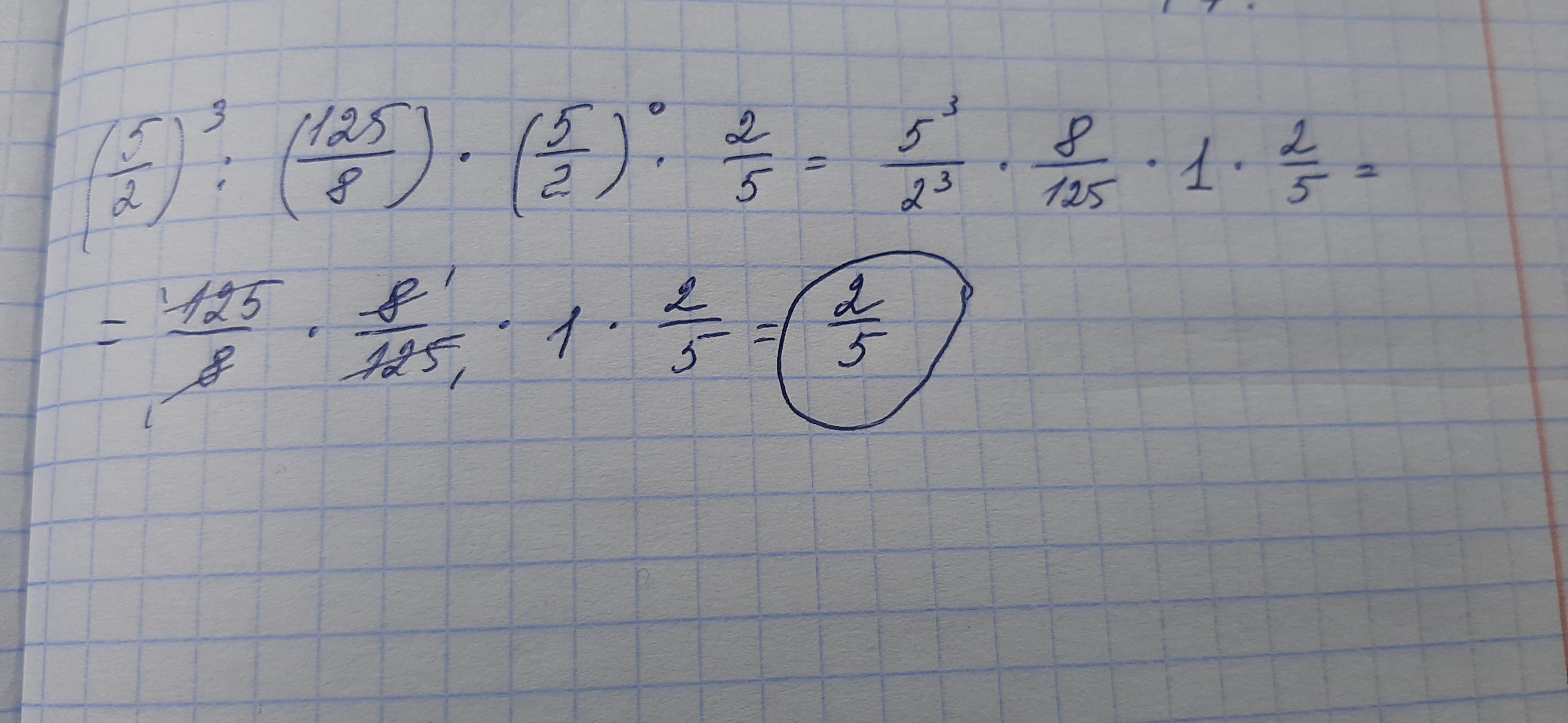
Ответ дал: Evreika77
0

Ответ: 2/5

Объяснение:

Смотри

Приложения:
Вас заинтересует