• Предмет: Алгебра
  • Автор: ematvei08
  • Вопрос задан 7 лет назад

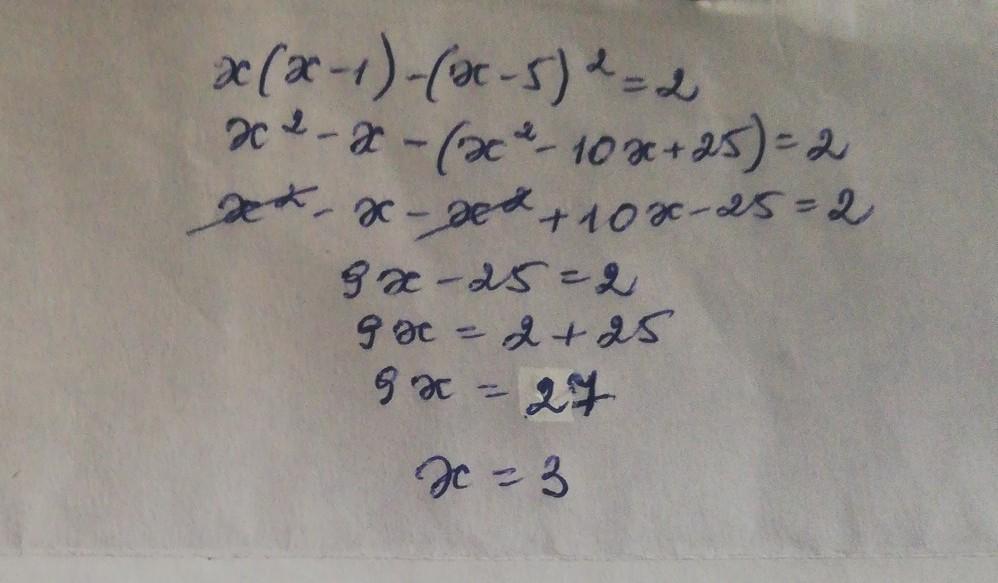
x(x-1)-(x-5)^2=2
Полное решение прошу

Ответы

Ответ дал: larisaserova53
0

Ответ:

Смотри решение на фото...

Приложения:
Вас заинтересует