Ответы
Ответ дал:
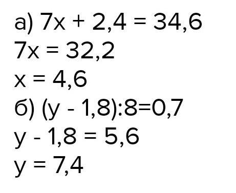
1
Пошаговое объяснение:
Вот сорри если не правильно)
Приложения:

Ответ дал:
1
Пошаговое объяснение:
Пожалуйста отметьте как лучший ответ
Приложения:

Вас заинтересует
2 года назад
2 года назад
2 года назад
8 лет назад
9 лет назад