• Предмет: Алгебра
  • Автор: romaigrok37
  • Вопрос задан 7 лет назад

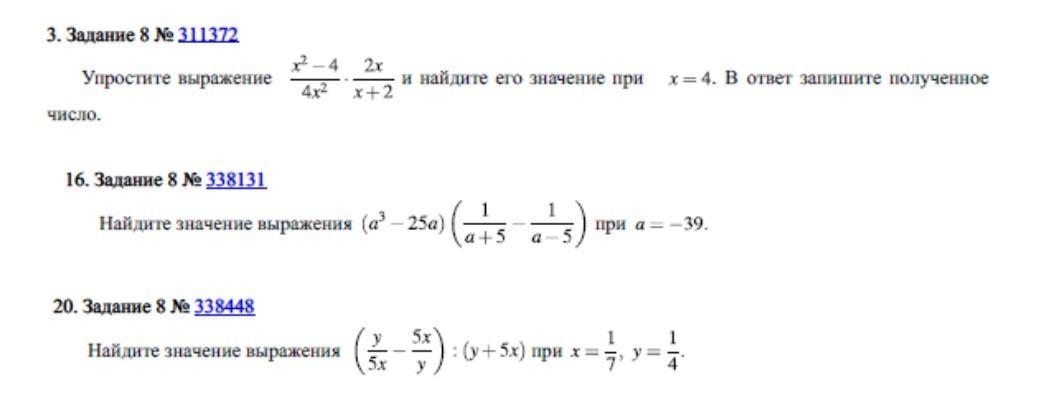
Решите пожалуйста, 100 баллов​

Приложения:

Ответы

Ответ дал: skalka03
1

Ответ:

Смотри на фото, если писать от руки долго будет

Приложения:
Вас заинтересует