• Предмет: Математика
  • Автор: silnikovfilipp59
  • Вопрос задан 7 лет назад

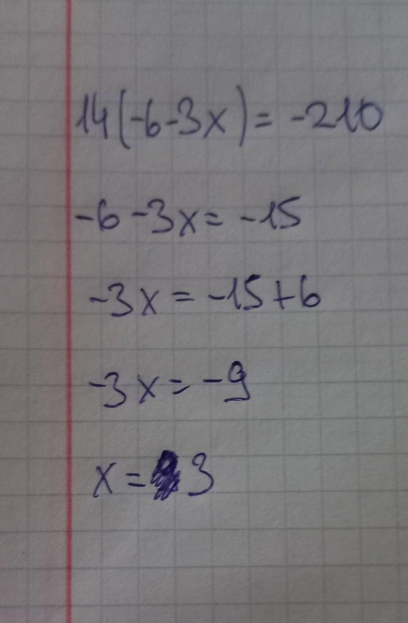
срочно!!!!!!!!!!!!!!!!!!!!!!!!!!! решите это - 14(−6−3x)=−210

Ответы

Ответ дал: qwrtlrll0
0

Ответ:

....................,.......

там 14 или -14?

Приложения:
Ответ дал: Аноним
0

Ответ:

на фото ответ на данное уравнение.

Приложения:
Вас заинтересует