• Предмет: Алгебра
  • Автор: SadchikovaPolina
  • Вопрос задан 7 лет назад

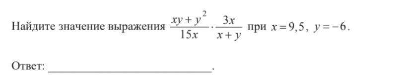
Помогите пожалуйста!

Приложения:

Ответы

Ответ дал: slganiev
0

Відповідь:

0,126

Пояснення:

перетворимо:У(Х+У)/15Х*3Х/Х+У⇒скоротимо, отримаємо:У/5Х   Х=-9,5 У=-6   -6/-47,5=0,126

Вас заинтересует