• Предмет: Математика
  • Автор: qweennn11
  • Вопрос задан 7 лет назад

Помогите пожалуйста)))))))))
упростить дробь....​

Приложения:

Ответы

Ответ дал: bertramjeratire
1

Ответ:

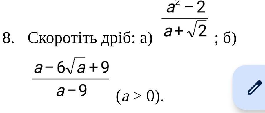
а)

 \frac{ {a}^{2} - 2 }{a +  \sqrt{2} }  =  \frac{(a -  \sqrt{2})(a +  \sqrt{2} ) }{a +  \sqrt{2} }  = a -  \sqrt{2}

б)

 \frac{a - 6 \sqrt{a}  + 9}{a - 9}  =  \frac{ {( \sqrt{a} - 3) }^{2} }{( \sqrt{a} - 3)( \sqrt{a}  + 3) }  =  \frac{ \sqrt{a}  - 3}{ \sqrt{a} + 3 }

Ответ дал: ludmilaksenija2005
1

Пошаговое объяснение:

Решение на фото __-_____---

Приложения:
Вас заинтересует