• Предмет: Алгебра
  • Автор: Аноним
  • Вопрос задан 7 лет назад

Розвязать уравнение
8 класс алгебра ​

Приложения:

Ответы

Ответ дал: Fire1ce
2

Ответ:

х=(-1) и х=(-5.5)

Решение:

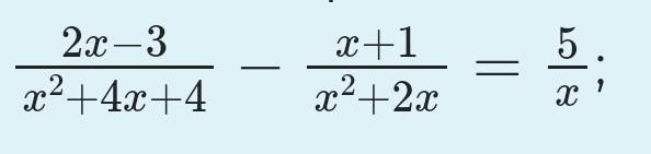
\frac{2x - 3}{x^{2} + 4x + 4 }  -  \frac{x + 1}{x^{2}  + 2x}  =  \frac{5}{x}

Формула сокращённого умножения:

(a + b)^{2}  = a^{2}  + 2ab + b^{2}

По этой формуле х²+4х+4 мы можем записать как (х+2)². Также вынесем х в знаменателе второй дроби.

\frac{2x - 3}{(x + 2)^{2} } -  \frac{x + 1}{x(x + 2)}  -  \frac{5}{x}  = 0

Приведём дроби к общему знаменателю:

\frac{x(2x - 3)}{x(x + 2)^{2} }  -  \frac{(x + 1)(x + 2)}{x(x + 2)^{2} }  -  \frac{5(x + 2)^{2} }{x(x + 2)^{2}}  = 0 \\  \\  \frac{2x^{2}  - 3x - (x^{2} + 2x + x + 2) - (5(x^{2} + 4x + 4) }{x(x + 2)^{2}}  = 0

Если дробь равна нулю, числитель равен нулю, знаменатель - не равен нулю.

ОДЗ:

х(х+2)² ≠ 0

х≠0 и (х+2)²≠0

х≠0 и х+2≠0

х≠0 и х≠(-2)

Прировняем числитель дроби к нулю:

2x^{2}  - 3x - (x^{2} + 2x + x + 2) - (5(x^{2} + 4x + 4)) = 0 \\  \\ 2x^{2}  - 3x - x^{2}  -  2x  -  x  -  2- (5x^{2} + 20x + 20) = 0 \\  \\ 2x^{2}  - 3x - x^{2}  -  2x  -  x  -  2- 5x^{2}  -  20x  -  20 = 0

Приведём подобные слагаемые:

 - 4x^{2} - 26x - 22 = 0

Умножим уравнение на (-1):

4x^{2} + 26x + 22 = 0

Имеем квадратное уравнение. Решим по дискриминанту.

D = b^{2}  - 4ac = 26^{2}  - 4 \times 4 \times 22 = 676 - 352 = 324 \\  \\ x \frac{}{1}  =  \frac{ - b +  \sqrt{D} }{2a}  =  \frac{ - 26 + 18}{8}  =  -  \frac{8}{8}  =  - 1 \\  \\ x \frac{}{2}  =  \frac{ - b  - \sqrt{D} }{2a}  =  \frac{ - 26  -  18}{8}  =  -  \frac{ - 44}{8}  =  - 5 \frac{4}{8}  =  - 5.5

Учёв ОДЗ, имеем два решения: х=(-1) и х=(-5.5).


Аноним: У меня нет слов, вы просто гений, спасибо огромное что помогаете, в следующий раз буду ставить больше баллов, вы самый лучший.
Fire1ce: Спасибо, мне приятно, рад помочь)
Вас заинтересует