Ответы
Ответ дал:
0
формулы приведения не сложны. главное запомнить,что функция меняется на противоположную в π/2 и 3π/2, а все остальное уже куда легче
Приложения:

Ответ дал:
0
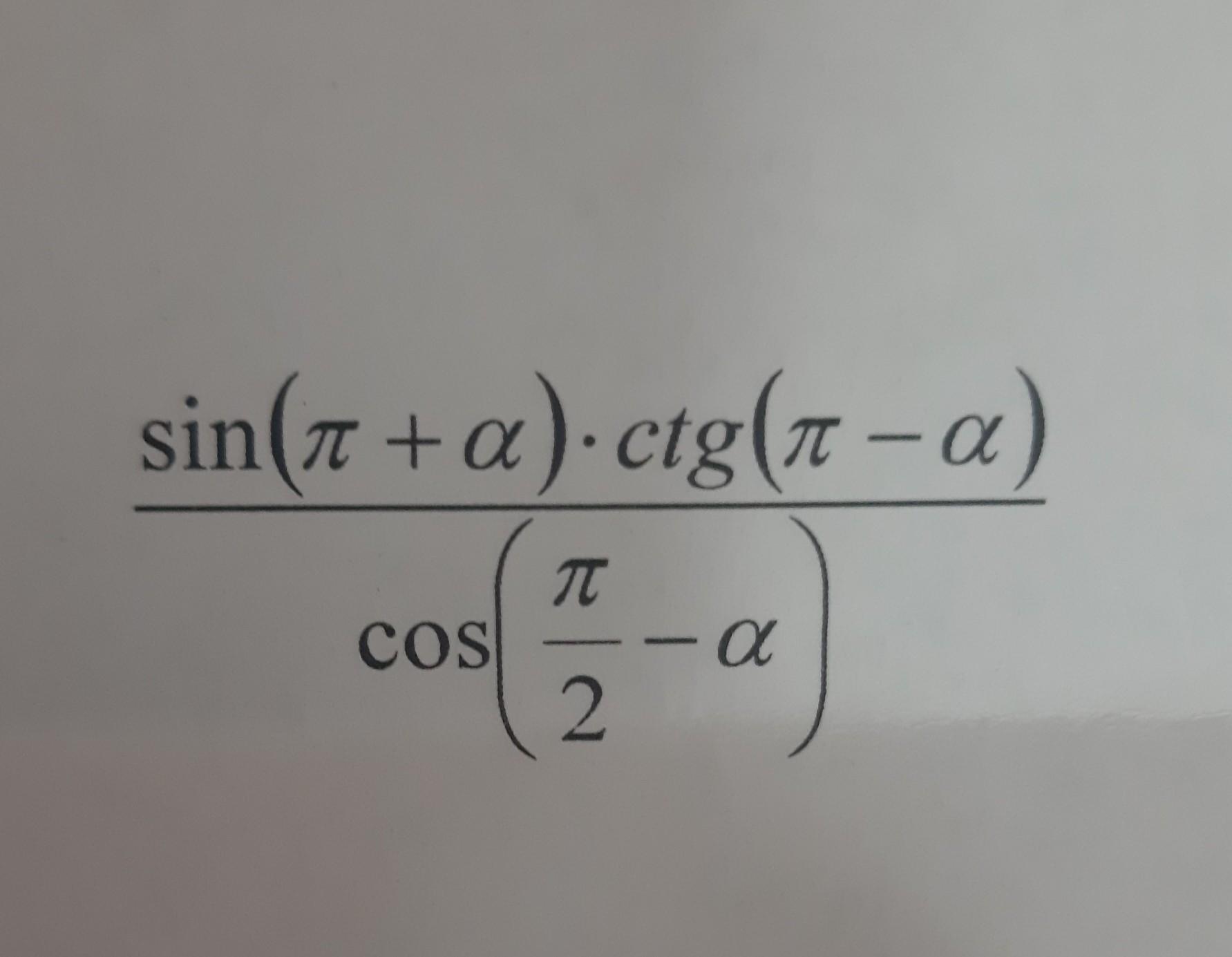
Ответ:ctgα
Объяснение:
(sin(Π+α)*ctg(Π-α))/(cos(Π/2-α))=(-sinα*(-ctgα))/sinα=-(-ctgα)=ctgα.
__________________________________
Я пользовался формулами приведения, которые даны на фото.
Приложения:

Вас заинтересует
2 года назад
2 года назад
2 года назад
8 лет назад
8 лет назад
9 лет назад