• Предмет: Математика
  • Автор: Kristina00011
  • Вопрос задан 10 лет назад

упростите выражение:7.6-(-3/8-у)-(5/8-2.4 у)" А.(-4); В.(-5); С.7; D.8. Если получится один из вариантов поставлю лучшим!

Ответы

Ответ дал: mailforazi
0
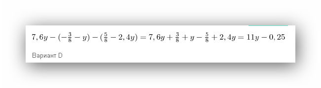
7,6y-(- frac{3}{8}-y)-( frac{5}{8}-2,4y) = 7,6y+ frac{3}{8}+y- frac{5}{8}+ 2,4y=11y-0,25
 
Вариант D
Приложения:
Ответ дал: Kristina00011
0
Блин ....
Ответ дал: mailforazi
0
перерешил
Ответ дал: Kristina00011
0
Тянусь почитать))
Ответ дал: Kristina00011
0
эм.... где ответ?
Ответ дал: mailforazi
0
чо т с формулами у некоторых косяки ... не видят ( перезаписал еще раз и фотку прикрепил
Вас заинтересует