• Предмет: Математика
  • Автор: krat7610
  • Вопрос задан 7 лет назад

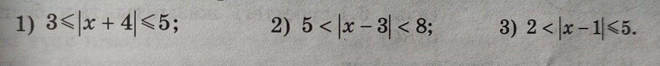
пппжжжжж помогите ппэпжпжпжпжпжпжпжпжпжпжжппжпжжппж​

Приложения:

Ответы

Ответ дал: helpygang228
1

Ответ:

1)-1,0,1

2)3,4

3)2,3,4

Пошаговое объяснение:

модуль всегда положительный

Вас заинтересует